| 일 | 월 | 화 | 수 | 목 | 금 | 토 |
|---|---|---|---|---|---|---|
| 1 | 2 | 3 | 4 | 5 | 6 | 7 |
| 8 | 9 | 10 | 11 | 12 | 13 | 14 |
| 15 | 16 | 17 | 18 | 19 | 20 | 21 |
| 22 | 23 | 24 | 25 | 26 | 27 | 28 |
- 리스트
- 노드
- 컴퓨터구조
- 오퍼랜드
- 편미분
- 회귀분석
- 단층 퍼셉트론
- 딥러닝
- 파이썬 딥러닝
- DB
- 퍼셉트론
- 단층퍼셉트론
- 신경망
- 자료구조
- 확률분포
- 연결 자료구조
- 파라미터
- 자연어처리
- 선형 리스트
- 자료구조 알고리즘
- 엔트로피
- 파이썬 날코딩으로 알고 짜는 딥러닝
- DBMS
- 순차 자료구조
- 인공지능
- 딥러닝 교차 엔트로피
- 교차 엔트로피
- 뇌를 자극하는 알고리즘
- 딥러닝 교차엔트로피
- lost function
- Today
- Total
YZ ZONE
[ 컴퓨터구조 ] 3.1-2 컴퓨터 산술과 논리 연산 본문
▣ 컴퓨터의 가장 근본이 되는 기능
▪ 수치에 대한 산술적 계산
▪ 논리 데이터에 대한 연산
▣ 산술적 계산
▪정수와 부동소수점 수라는 두 가지 형태의 수들에 대하여 수행
▣ 논리 연산
▪0과 1의 배열로 표현되는 2진 데이터에 대하여 이루어 짐
▣ 산술논리연산장치(ALU)
▪ CPU 내부의 핵심 구성요소로서, 산술 연산과 논리 연산을 수행하는 하드 웨어
3.1 ALU의 구성 요소
▣ 산술 연산장치
▪ 산술 연산들(+, -, ×, ÷)을 수행
▣ 논리 연산장치
▪ 논리 연산들(AND, OR, XOR, NOT 등)을 수행
▣ 시프트 레지스터(shift register)
▪ 비트들을 좌측 혹은 우측으로 이동시키는 기능을 가진 레지스터
▣ 보수기(complementer)
▪ 2진 데이터를 2의 보수로 변환(음수화)
▣ 상태 레지스터(status register)
▪ 연산 결과의 상태를 나타내는 플래그(flag)들을 저장하는 레지스터

3.2 정수의 표현
정수의 표현
▣ 2진수 체계
▪ 0, 1, 부호 및 소수점으로 수를 표현
➢ [예] -13.62510 = -1101.1012
▣ 부호 없는 정수 표현의 예
▪ 00111001 =57
▪00000000 = 0
▪00000001 = 1
▪10000000 = 128
▪11111111 = 255
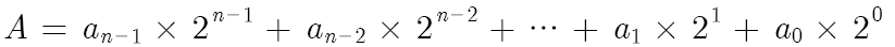
▣n-비트 2진수를 부호 없는 정수 A로 변환하는 방법

소수와 음수의 표현
▣ 최상위 비트인 an-1의 좌측에 소수점이 있는 소수의 10진수 변환방법

▣ 음수 표현 방법
▪ 부호화-크기 표현(signed-magnitude representation)
▪ 1의 보수 표현(1's complement representation)
▪ 2의 보수 표현(2's complement representation)
부호화-크기 표현
▣ 맨좌측 비트는 부호 비트, 나머지 (n-1)개의 비트들은 수의 크기 (magnitude)를 나타내는 표현 방식


▣ 결점
▪ 덧셈과 뺄셈을 수행하기 위해서는 부호 비트와 크기를 비교하여 처리 하는 복잡한 과정 필요
▪ 0에 대한 표현이 두 개 존재
0 0000000 = + 0
1 0000000 = -0
➔n-비트 단어로 표현할 수 있는 수들이 2^n 개가 아닌, (2^n -1)개로 감소
보수 표현
▣ 1의 보수(1's complement) 표현
▪ 모든 비트들을 반전 (0→1, 1→0)
▣ 2의 보수(2's complement) 표현
▪ 모든 비트들을 반전하고, 결과값에 1을 더한다

8-비트 2진수로 표현할 수 있는 10진수 범위
▣ 1의 보수 : - (27 - 1) ∼ + (27 - 1)
▣ 2의 보수 : - 27 ∼ + (27 - 1)

2의 보수 -> 10진수 변환
▣ 2의 보수로 표현된 양수(an-1 = 0)를 10진수로 변환하는 방법


비트 확장 (Bit Extension)
▣ 데이터의 길이(비트 수)를 늘리는 방법
▪ 필요성: 데이터를 더 많은 비트의 레지스터에 저장하거나, 더 긴 데이 터와 연산을 수행하기 위해 필요 (8비트 -> 16비트로...)


▣ 2의 보수 표현의 경우
▪확장되는 상위 비트들을 부호 비트와 같은 값으로 세트
▣ 부호-비트 확장(sign-bit extension)이라 함

'IT > 컴퓨터구조' 카테고리의 다른 글
| [ 컴퓨터구조 ] 3.4 시프트 연산 (0) | 2023.02.06 |
|---|---|
| [ 컴퓨터구조 ] 3.3 논리 연산 (0) | 2023.02.06 |
| [ 컴퓨터구조 ] 2.4.3 명령어 세트 (2) | 2023.02.05 |
| [ 컴퓨터구조 ]2.4.2 명령어 세트 (0) | 2023.02.05 |
| [ 컴퓨터구조 ] 2.4 명령어 세트 (0) | 2023.02.05 |