| 일 | 월 | 화 | 수 | 목 | 금 | 토 |
|---|---|---|---|---|---|---|
| 1 | 2 | |||||
| 3 | 4 | 5 | 6 | 7 | 8 | 9 |
| 10 | 11 | 12 | 13 | 14 | 15 | 16 |
| 17 | 18 | 19 | 20 | 21 | 22 | 23 |
| 24 | 25 | 26 | 27 | 28 | 29 | 30 |
| 31 |
- 딥러닝 교차엔트로피
- 뇌를 자극하는 알고리즘
- 퍼셉트론
- 파이썬 딥러닝
- 자료구조 알고리즘
- lost function
- DBMS
- 교차 엔트로피
- 인공지능
- DB
- 편미분
- 순차 자료구조
- 오퍼랜드
- 회귀분석
- 컴퓨터구조
- 엔트로피
- 파라미터
- 자료구조
- 선형 리스트
- 연결 자료구조
- 노드
- 단층퍼셉트론
- 딥러닝 교차 엔트로피
- 딥러닝
- 자연어처리
- 파이썬 날코딩으로 알고 짜는 딥러닝
- 신경망
- 확률분포
- 단층 퍼셉트론
- 리스트
- Today
- Total
YZ ZONE
[뇌를 자극하는 알고리즘] 1. 리스트 본문
자료구조: 데이터를 효울적으로 조직하고 저장하는 방법.
리스트(List): 데이터의 목록을 다루는 자료구조.
배열처럼 데이터집합 보관 기능을 가지면서도 배열과는 달리 유연하게 크기를 바꿀 수 있는 자료구조.
노드(Node): 리스트 내의 각 요소. 데이터를 보관하는 필드와 노드와의 연결 고리 역할을 하는 포인터로 이루어짐.
첫 번째 노드를 헤드(Head) 마지막 노드를 테일(Tail)이라고 함.


1. 링크드 리스트(Linked List) (단순 연결리스트)
: 노드를 연결해서 만드는 리스트.
[링크드 리스트의 주요 연산 ]
- 노드 추가: 기존 테일의 포인터가 새로추가된 테일을 가리킴.
- 노드 탐색: 헤드부터 시작해 다음 노드에 대한 포인터를 징검다리 삼아 차근차근 노드의 수를 세어나가야만 원하는 요소에 접근 가능.
- 노드 삭제: 삭제하고자하는 노드를 찾은 후, 해당 노드의 다음 노드를 이전 노드의 포인터에 연결.
- 노드 삽입: 노드사이 새 노드를 끼워 넣을때 앞 노드의 포인터가 새 노드를 가리키게 하고 새 노드의 포인터가 뒤 노드를 가리키게함.



링크드 리스트의 단점
-다음 노드를 가리키려는 포인터 때문에 각 노드마다 4byte의 메모리가 추가로 필요.
-특정 위치의 노드를 얻는데 드는 비용이 크며 속도도 느림.
링크드 리스트의 장점
-새로운 노드의 추가/ 삽입/ 삭제가 쉽고 빠름.
-현재 노드의 다음 노드를 얻어오는 연산에 대해 비용이 발생하지 않음.
결론 => 링크드 리스트는 노드의 추가/ 삽입/ 삭제는 빠르나 특정 위치에 있는 노드를 찾는 연산은 느림.
따라서 레코드의 추가/ 삽입/ 삭제가 잦고 조회는 드문 곳에 적합함.
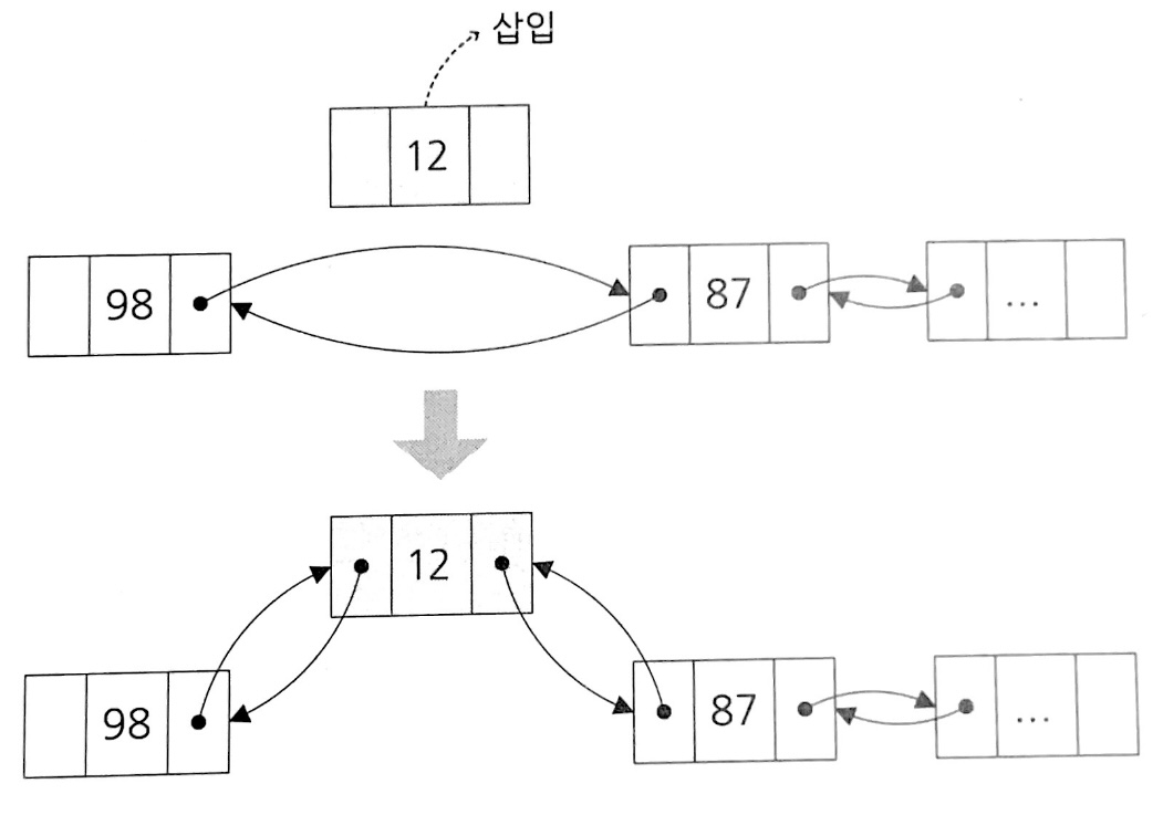
2. 더블 링크드 리스트(Doubly Linked List) (이중 연결리스트)
: 양방향으로 탐색이 가능한 리스트. 자신 앞의 노드를 가리키는 포인터도 있음.
이전 노드를 가리키는 포인터를 Prev포인터(llink), 다음 노드를 가리키는 포인터를 Next포인터(rlink) 라고 하겠습니다.

[링크드 리스트의 주요 연산 ] #링크드 리스트와 비슷함.
- 노드 추가: 기존 테일의 포인터가 새로추가된 테일을 가리키고 + 새로운 테일의 포인터도 기존 테일의 주소를 가리킴.
- 노드 탐색: 링크드 리스트와 같이 헤드부터 차근차근 원하는 요소에 접근 가능.
- 노드 삭제: 이전 노드의 포인터, 삭제할 노드의 양쪽 포인터, 이후 노드의 (삭제할 노드를 가리키는)포인터 모두 4개의 포인터를 다룸.삭제할 노드의 Next포인터가 가리키고 있던 노드를 앞 노드의 Next포인터가 가리키게하고, 삭제할 노드의 Prev포인터가 가리키고 있던 노드를 뒷 노드의 Prev포인터가 가리키게함. 삭제할 노드의 포인터들은 NULL로 초기화함.
- 노드 삽입: 새 노드의 Prev포인터는 앞 노드를 Next포인터는 뒷 노드를 가리킴. 앞 노드의 Next포인터와 뒷 노드의 Prev포인터는 새 노드를 가리킴.



3. 환형 링크드 리스트(Circular Linked List) (원형 연결리스트)
: 헤드와 테일이 연결되어있음. 즉 헤드의 앞 노드로 테일을, 테일의 뒷 노드로 헤드를 가리킴.
더블 링크드 리스트, 링크드 리스트로 환형 링크드 리스트를 만들 수 있음.

- 환형 더블 링크드 리스트
노드추가: 비어있는 리스트에 새 노드를 추가하면 Prev, Next포인터 모두 자기 자신을 가리킴. 비어있지 않은 경우 추가를 할 때는 테일에 붙이는 것이 아니라 테일과 헤드 사이에 삽인한다고 생각하면 편함.

'IT > 자료구조 및 알고리즘' 카테고리의 다른 글
| [ 자료구조 및 알고리즘 ] 4. 순차 자료구조 - 1.선형 리스트 (0) | 2023.02.18 |
|---|---|
| [뇌를 자극하는 알고리즘] 5. 정렬 (0) | 2022.02.19 |
| [뇌를 자극하는 알고리즘] 4.트리 (0) | 2022.02.03 |
| [뇌를 자극하는 알고리즘] 3. 큐 (0) | 2022.02.01 |
| [뇌를 자극하는 알고리즘] 2 . 스택 (0) | 2022.01.29 |